Poza
2
/ 7
Înapoi la articol
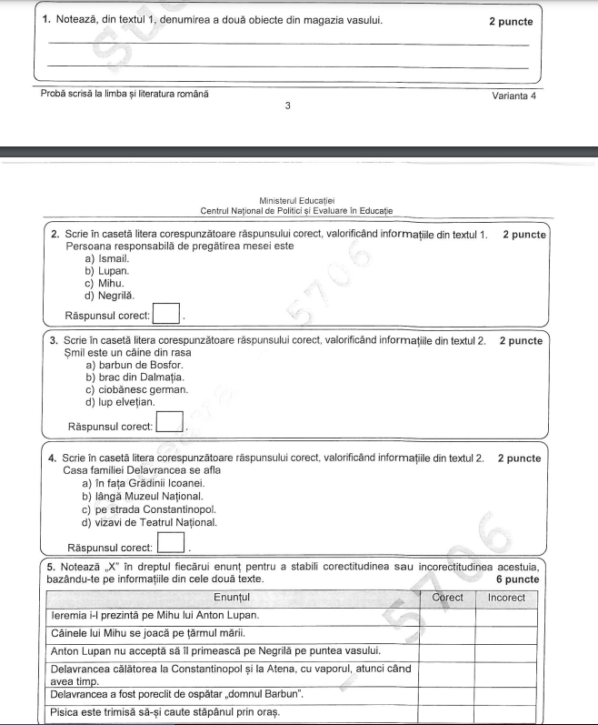
Evaluarea Națională 2022 | Subiectele și baremul la limba și literatura română, prima probă la Evaluare, de marti, 14 iunie 2022. UPDATE: Avem subiectele
Concurenta de la Insula Iubirii, însărcinată pentru a doua oară!…
Decizia luată de Irisha, de Valentine’s Day, după ultima relație:…
Dezvăluirea neașteptată pe care Vlad Gherman i-a făcut-o Cristinei Ciobănașu:…
Campion la Eindhoven, campion acasă – un pas până la…
Serghei Mizil, varianta cuminte. Cine ar fi crezut? Disciplinat și…
Cum arată locuința de lux a Georgianei Lobonț. Penthouse-ul din…
Cautare
Introdu cuvântul căutat și apasă ENTER
Facebook
Instagram
Twitter
Youtube
Inchide
Home
Exclusiv
Sport
Știri
Video
Horoscop
Vedete
Paparazzi
Știri interne
Știri externe
Politica
×