Poza
3
/ 12
Înapoi la articol
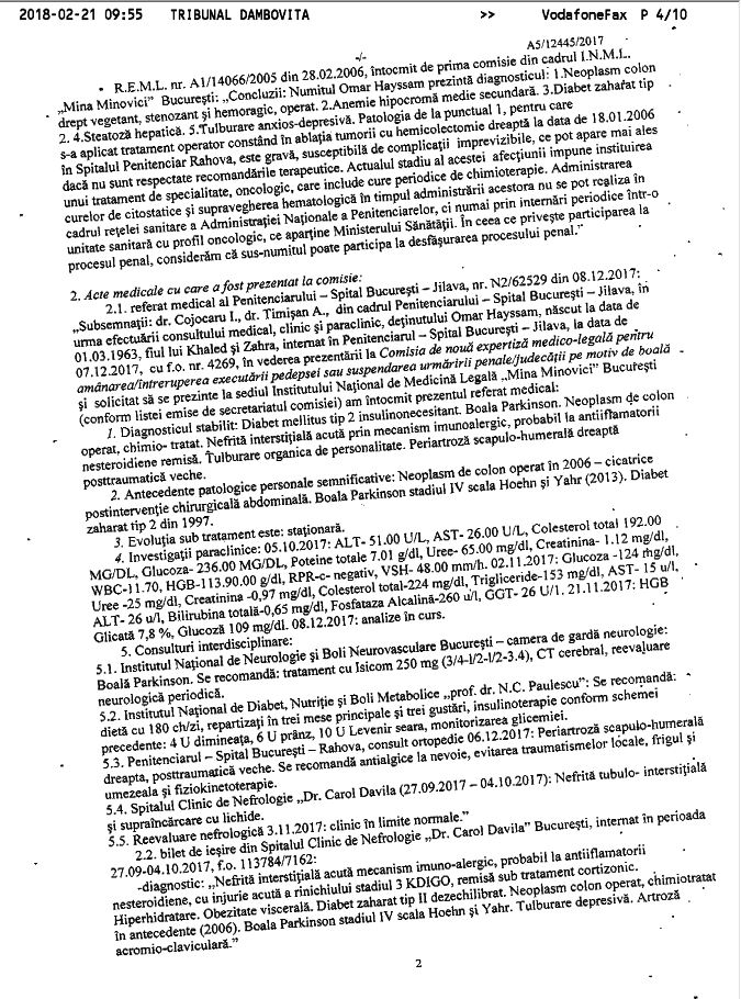
Documentele medicale care dovedesc starea precară de sănătate a lui Omar Hayssam
L-a vizitat în celulă pe celebrul terorist: ”Abia ne-am înțeles… Poate muri oricând!”
Adrian Nartea, totul despre episodul din Loft surprins de CANCAN.RO.…
Adela Popescu a revenit la Pro TV! Primele imagini din…
Roxana Moise a fost condusă pe ultimul drum. Familia a…
Avem singurele imagini cu ”puiuțul” fostei ministrese a Justiției! Rodica…
Obiectul pe care prietenele Rodicăi Stănoiu i l-au pus în…
Meghan Markle, făcută praf de internauți după ce și-a lansat…
Cautare
Introdu cuvântul căutat și apasă ENTER
Facebook
Instagram
Twitter
Youtube
Inchide
Home
Exclusiv
Sport
Știri
Video
Horoscop
Vedete
Paparazzi
Știri interne
Știri externe
Politica
×