Poza
6
/ 12
Înapoi la articol
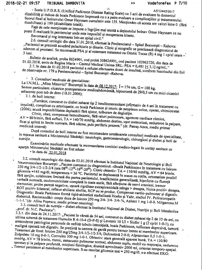
Documentele medicale care dovedesc starea precară de sănătate a lui Omar Hayssam
L-a vizitat în celulă pe celebrul terorist: ”Abia ne-am înțeles… Poate muri oricând!”
Gigi Becali face legea printre muncitori și show pentru trecători.…
Jorge a pus podcastul pe pauză și s-a distrat cu…
Andreea Bănică a primit un cadou special înainte de Paște.…
Maria Vigheciu a devenit mamă! Ce probleme a avut influencerița…
Ce decizie importantă au luat Alexandra Stan și iubitul ei.…
Bianca Drăgușanu o pulverizează pe Maria Ilioiu după ce EX-ispita…
Cautare
Introdu cuvântul căutat și apasă ENTER
Facebook
Instagram
Twitter
Youtube
Inchide
Home
Exclusiv
Sport
Știri
Video
Horoscop
Vedete
Paparazzi
Știri interne
Știri externe
Politica
×