Miercuri, 11 iunie 2025, elevii claselor a XII-a de liceu susțin a doua probă obligatorie a profilului, cea la Matematică, sau Istorie, conform programei emise de Ministerul Educației. Candidaților li s-a permis accesul în săli între orele 07:30 și 08:30, iar examenul se va încheia la ora 12:00. Iată cum se rezolvă cele trei subicte primite de adolescenți. Structura este aceeași ca în anii trecuți.
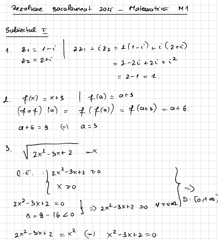
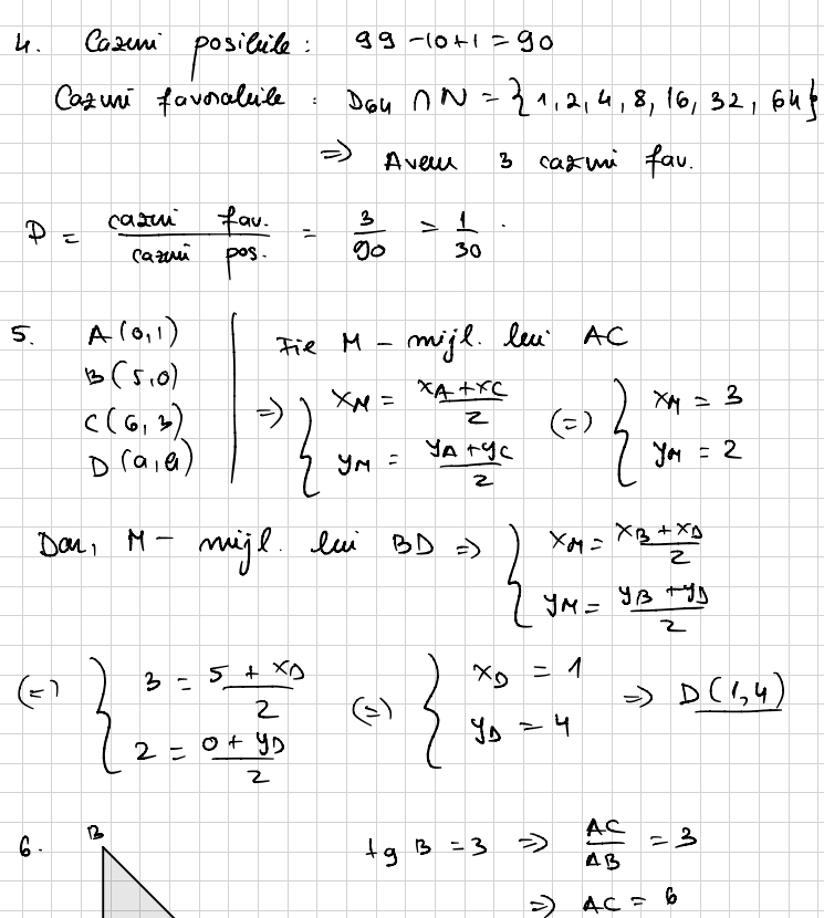
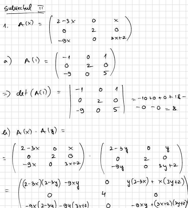
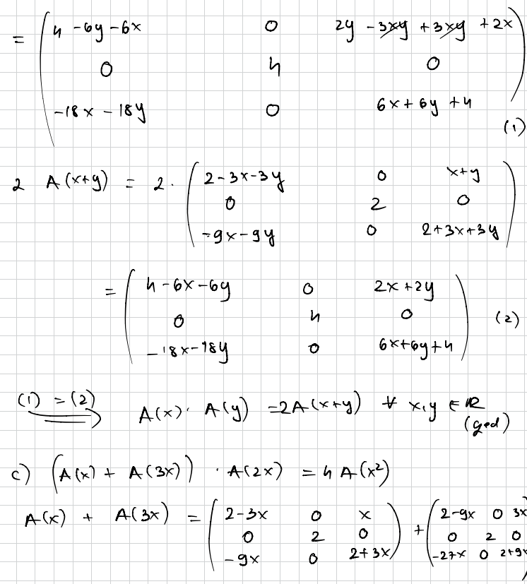
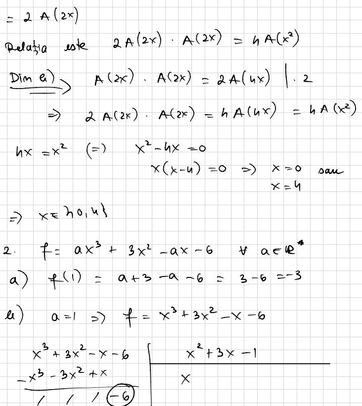
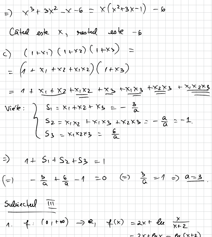
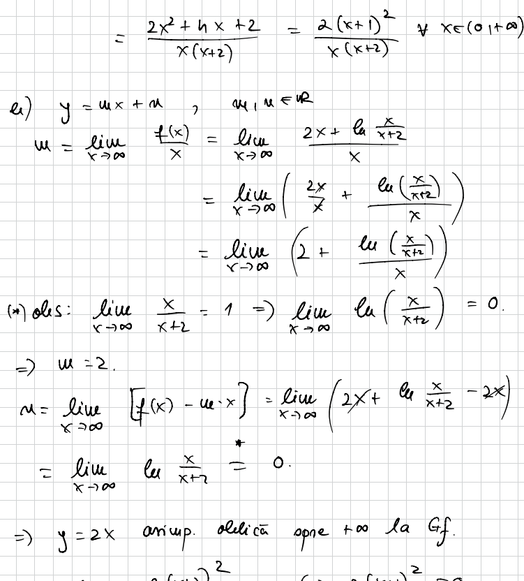
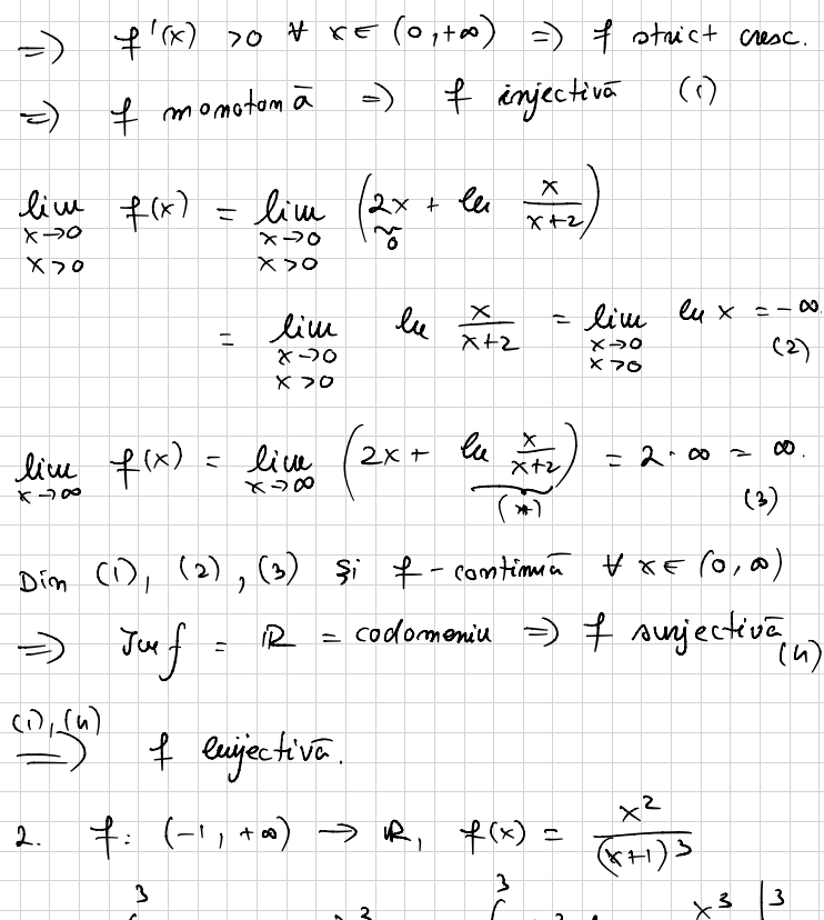
UPDATE 13:40 – Subiectele rezolvate la examenul de Matematică – Informatică (M1). Rareș Cotoi, student în anul doi la Facultatea de Matenatică și Informatică UBB Cluj Napoca, susține că subiectele au fost accesibile, notează hotnews.ro.










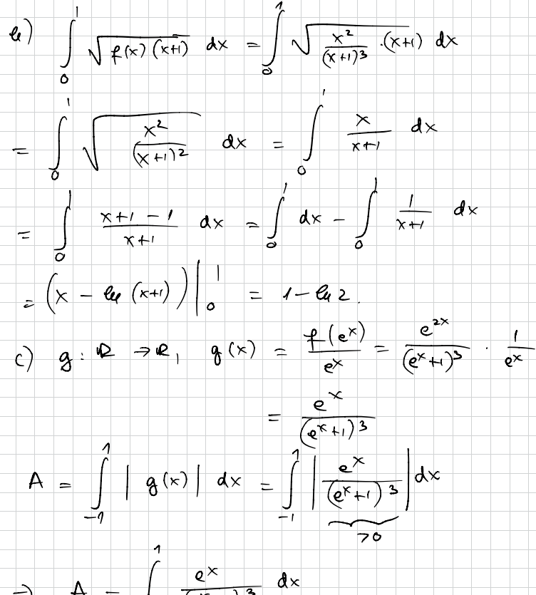
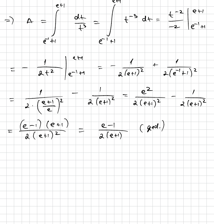
UPDATE 12:20 – Au apărut imagini cu subiectele de la examenul de BAC 2025 la Matematică – Informatică (M1).


Examenul de Bacalaureat 2025 a început marți, 10 iunie 2025, cu prima probă obligatorie pentru toți elevii, indiferent de profil – Limba și Literatura Română – vezi AICI subiectele, baremele și primele rezultate.
Astăzi, 11 iunie, elevii claselor a XII-a vor susține a doua probă obligatorie a examenului de Bacalaureat 2025, începând cu ora 09:00. Candidații au la dispoziție trei ore pentru a rezolva subiectele la Matematică (pentru elevii de la profilul real sau tehnologic) sau Istorie (pentru elevii de la umanist ori vocațional). La Matematică, proba este împărțită pe trei subicte, cu câte șase exerciții/probleme – noatate cu câte 5 puhncte, fiecare dintre ele având grad de dificultate diferit de la caz la caz.
La fel ca în anii trecuți, examenul de Bacalaureat se va desfășura în condiții stricte. Accesul elevilor în săli se va face între orele 07:30 și 08:30 și este permisă intrarea doar cu actul de identitate (sau pașaportul) și instrumentul de scris. Telefoanele mobile, bagajele sau alte obiecte sunt lăsate într-o sală specială, unde fiecare elev primește un autocolant cu număr de identificare pentru a-și recupera bunurile după ce susține examenul. Proba oficială începe la ora 09:00 și durează 3 ore.
În timpul examenului, elevilor le este interzisă comunicarea cu exteriorul sau cu alți candidați, precum și deținerea de ciorne, fițuici, manuale, dicționare, dispozitive electronice sau alte materiale sau dispozitive nepermise. Cei care încalcă aceste reguli riscă să fie eliminați din examen.
În anul 2025, după aflarea rezultatelor, elevii au posibilitatea să își analizeze lucrarea, astfel încât să fie siguri dacă depun contestație sau nu. Acest lucru va fi posibil pe 20 iunie – între orele 14:00 – 18:00 – și în zilele de 23-24 iunie.