A treia zi de luni a fiecărui an an este considerată a fi cea mai depresivă zi. Drept urmare, azi, 15 ianuarie, este „Blue Monday”, cea mai urâtă zi a anului 2018. „Lunea albastră” este grea pentru toţi. Oamenii sunt mai trişti, nu au chef de muncă şi sunt lipsiţi de energie. Există şi o explicaţie, spun specialiştii.
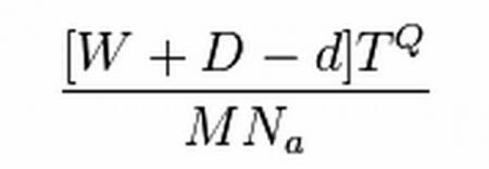
Teoria „Blue Monday”, „Lunea albastră”, a apărut în 2005, când psihologul britanic Cliff Arnall a creat o formulă matematică elaborată pentru a calcula cele mai îngrozitoare zile ale anului. O formulă construită pe baza mai multor factori: condiţiile climatologice ale acestei perioade, facturile la utilităţi, sărbătoriile abia încheiate, datorii şi – nu în ultimul rând – prejudecata generală, potrivit căreia lunea este cea mai urâtă zi a săptămânii.

W exprimă condiţiile meteorologice, d=debitul (diferenţa intre datoriile acumulate şi capacitatea noastră de a plăti), T = timpul scurs de la Crăciun, Q = timpul scurs de la începutul Anului Nou, M = nivel motivaţional scăzut, Na = necesitatea de a acţiona, iar D exprimă salariul.