Bacalaureat 2022 – sesiunea de toamnă. Miercuri, 17 august 2022, are loc cea de-a doua probă din sesiunea august – septembrie, care îi va pune în dificultate pe elevii care au fost corigenți sau nu au obținut note de trecere în sesiunea de la începutul verii. Toți candidații înscriși vor putea să intre în clasele special amenajate încă de la ora 8:30, dar nu înainte de a-și lăsat toate obiectele personale într-o altă clasă supravegheată în permanență.
Bacalaureatul este unul dintre cele mai importante examene pe care elevii sunt nevoiți să îl treacă pentru a li se recunoaște meritele. Astfel, cei care nu au reușit să treacă în prima sesiune de una dintre probe, au ocazia să rezolve această problemă în următoarele zile. Azi va fi susținută proba obligatorie a profilului, în cazul de față matematica. Elevii care au terminat un profil real vor face tot posibilul pentru a rezolva toate exercițiile în timp util.





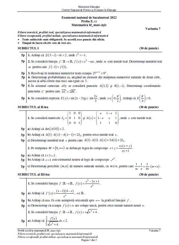
VEZI ȘI: BACALAUREAT 2022 – SESIUNEA DE TOAMNĂ | CE SUBIECTE AU PICAT LA LIMBA ȘI LITERATURA ROMÂNĂ
În această sesiune sunt așteptați elevi și din generațiile anilor trecuți care nu au reușit nici până acum să își obțină diploma de Bacalaureat. Subiectele îi vor pune în dificultate pe cei mai puțin pregătiți, însă oficialii speră că toți au tratat cu seriozitate această nouă șansă și au recapitulat în ultimele luni materia.
Metodologia de susținere a examenului de Bacalaureat le permite viitorilor studenți să își depoziteze în siguranță toate bunurile pe perioada desfășurării examenului. De asemenea, aceștia vor fi nevoiți să renunțe înainte de a intra în sala de examen la toate manualele, materialele auxiliare sau orice alte obiecte care ar putea reprezenta surse de inspirație. Candidații vor intra în sală începând cu ora 8:30, urmând să aștepte până la ora 9:00 subiectele venite din partea Ministerului Educației.
În cazul de față, cei prezenți vor avea nevoie doar de obiecte de scris cu pastă de culoare albastră și de creioane negre. Orice nerespectare a regulamentului impus va aduce de la sine excluderea candidatului din examen, acesta fiind declarat „picat”. În momentul în care mai rămân doar trei persoane în sală, niciuna nu va mai avea voie să plece, decât în momentul în care toate lucrările au fost strânse.
Este total interzis ca în cele trei ore în care se susține examenul participanții să comunice între ei sau să își trimită unul celuilalt diferite foi sau ciorne. Pe lângă faptul că examenul este monitorizat video, profesorii supraveghetori vor fi cu ochii în patru pentru a depista orice astfel de încercare. Căștile în ureche sau orice alte metode de copiat sunt strict interzise și se pedepsesc prin excluderea candidatului din examen, acesta fiind obligat să mai aștepte încă două sesiuni pentru a putea susține din nou examenul.