Emoții mari pentru elevii care au terminat clasa a VIII-a! Miercuri, 25 iunie 2025, are loc a doua probă de la Evaluarea Națională, și anume Matematica. Accesul în centrele de examen este permis între orele 08:00 și 08:30, iar testarea va începe la ora 9:00, atunci când va fi distribuită broșura cu subiecte și hârtie ștampilată pentru ciorne.
UPDATE 13:30: Unele din subiectele pe care le-au primit elevii astăzi la proba de Matematică, de la Evaluarea Națională, le-au dat bătăi de cap. Iată cum se rezolvau exercițiile:










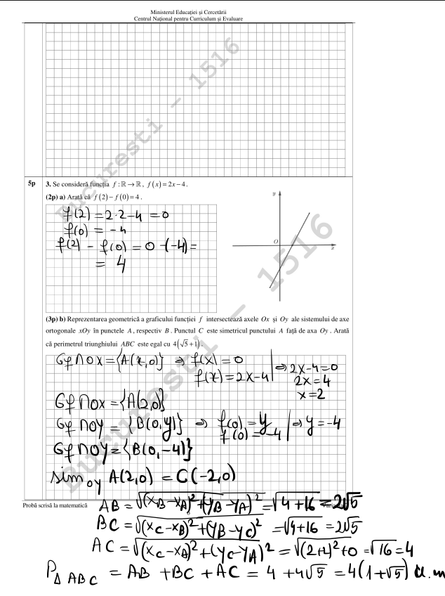
UPDATE 10:25: Subiectele pe care elevii le-au primit la proba scrisă de Matematică au fost publicate. Acestea au apărut mai devreme pe rețelele de socializare, pe un grup al părinților. Oficial, ele urmează să fie anunțate la ora 15.00 pe edu.ro. Iată ce exerciții au avut de rezolvat elevii:










UPDATE 9:00: Subiectele de la Matematică au fost distribuite și a început oficial proba de la Matematică. Absolvenții clasei a VIII-a au la dispoziție 120 de minute pentru rezolvarea exercițiilor.
Spre deosebire de anii anteriori, Evaluarea Națională 2025 introduce o schimbare importantă în structurarea calendarului. Mai exact, între cele trei probe este prevăzută câte o zi de pauză, oferind elevilor timp suplimentar de pregătire și odihnă. Așadar, aceștia au susținut examenul la Limba și Literatura Română luni, 23 iunie, iar la Matematică, miercuri, 25 iunie. Vineri, 27 iunie, urmează și proba de la Limba maternă, dedicată elevilor aparținând minorităților naționale.
Candidații de la Evaluarea Națională 2025 sunt nevoiți să prezinte un act de identitate valabil și să aibă asupra lor doar instrumente de scris cu cerneală sau pastă albastră. Este interzis accesul cu materiale auxiliare, telefoane mobile sau orice dispozitive electronice de comunicare.
Elevii clasei a VIII-a care susțin proba la Matematică trebuie să rezolve mai multe tipuri de subiecte. Printre acestea se numără exercițiile care țin de identificarea datelor, mărimilor și relațiilor matematice în contextul în care acestea apar.
De asemenea, copiii trebuie să recunoască figuri geometrice și alte elemente de geometrie plană. Elevii vor avea și subiecte de prelucrare a datelor matematice de tip cantitativ, calitativ, structural, cuprinse în diverse sigur informaționale, calcule cu numere naturale, concepte și algoritmi specifici în diverse contexte matematice.
Printre subiecte se mai numără limbajul specific matematicii a informațiilor, concluziile și demersurile de rezolvare pentru o situație dată. De asemenea, este important ca elevii să știe să facă operații cu numere naturale, să cunoască divizibilitatea numerelor naturale, fracții ordinare, zecimale, numere raționale, numere reale, dar și calcule algebrice.

Conform calendarului oficial stabilit de Ministerul Educației, primele rezultate vor fi afișate pe data de 3 iulie, iar cele finale pe 10 iulie, după soluționarea contestațiilor. Ca o noutate, elevii au acum posibilitatea de a-și vizualiza lucrările corectate înainte de a decide dacă doresc să depună contestație.
Această măsură, inspirată din modelul Bacalaureatului, aduce un plus de transparență și poate contribui la reducerea numărului de contestații nejustificate. Elevii au timp să vizualizeze lucrările și să depună contestațiile vineri, 4 iulie, și sâmbătă, 5 iulie 2025. Acestea vor fi soluționate în perioada 6-9 iulie.