EVALUARE NAŢIONALĂ 2016 În această miercuri, elevii care au promovat cu brio clasa a – VIII-a au susţinut proba scrisă la Matematică din cadrul Evaluării Naţionale.
EVALUARE NAŢIONALĂ 2016 Astăzi, pe 29 iunie 2016, mai mult de 150.000 de elevi au susţinut examenul scris la Matematică, din cadrul Evaluării Naţionale 2016. Atât subiectul, cât şi baremul la acestă probă au fost făcute deja publice, în urmă cu puţin timp pe pagina Ministerului Educaţiei, iar elevii vor putea să îşi aproximeze rezultatele la această probă de examen.
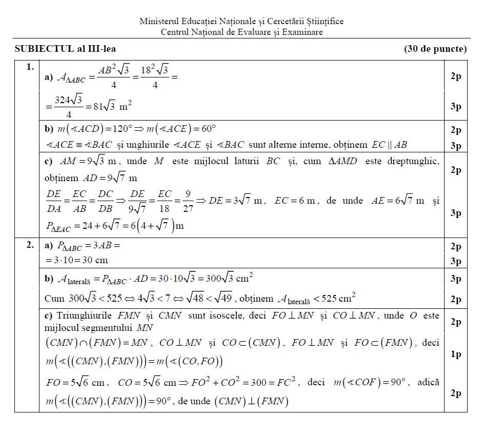
Proba la Matematică a început miercuri, la ora 9:00 şi a ţinut două ore, iar în urmă cu puţin timp a fost făcut public şi baremul pentru examen. Mai mult decât atât, această probă a stârnit şi câteva controverse, după ce un subiect a fost considerat mult prea ambiguu atât de către părinţii elevilor de clasa a VIII-a, cât şi de profesorii acestora.
Vezi AICI subiectul la Matematica din cadrul Evaluării Naţionale 2016.
CANCAN.ro, site-ul numărul 1 din România, vă ţine la curent cu toate informaţiile necesare despre Evaluarea Naţională 2016.
Calendarul Evaluării Naţionale 2016:
27 iunie 2016 – Limba şi literatura română – proba scrisă
28 iunie 2016 – Limba şi literatura maternă – proba scrisă
29 iunie 2016 – Matematică – proba scrisă
1 iulie 2016 – Afişarea rezultatelor (până în ora 16:00)
1 iulie 2016 – Depunerea contestaţiilor (intervalul 16:00 – 20:00)
2 – 4 iulie 2016 – Rezolvarea contestaţiilor
5 iulie 2016 – Afişarea rezultatelor finale, după contestaţii.
Iată cum arată baremul la Matematică de la EVALUAREA NAŢIONALĂ 2016:

