Acasă » Trending » Bacalaureat 2022 | Rezolvarea subiectelor la matematică, a doua probă de la BAC

Bacalaureat 2022 | Rezolvarea subiectelor la matematică, a doua probă de la BAC

De: Eliza Popescu 21/06/2022 | 10:50

Bacalaureat 2022. În data de 21 iunie 2022, absolvenții de liceu susțin cea de-a doua probă de la BAC, proba obligatorie a profilului. Elevii care au fost la real, trebuie să susțină examenul la matematică.

S-a dat start la Bacalaureat 2022! După ce luni, 20 iunie, elevii absolvenții de liceu din țară au susținut proba scrisă la Limba și Literatura Română (vezi aici rezolvarea subiectelor), astăzi, 21 iunie, aceștia vor susține proba obligatorie a profilului. De la ora 09:00, aceștia au primit subiectele. La ora 10.30, primii candidați care au susținut proba la matematică au avut voie să iasă din sălile de examen, dacă au terminat de rezolvat subiectele.

Subictele vor fi încărcate pe subiecte.edu.ro.

Subiectele de la Matematică pentru profilul Mate-Info

Vezi și SCENE ULUITOARE LA BAC 2022! IREAL CE A PUTUT SĂ FACĂ O ELEVĂ DE LA LICEUL ION CREANGĂ DIN BUCUREŞTI, CHIAR ÎNAINTE SĂ INTRE LA EXAMENUL DE LIMBA ROMÂNĂ

Subiectele de la Matematică pentru profilul Tehnologic

Absolvenții de liceu de la profilul Tehnologic au avut de rezolvat varianta numărul 1 extrasă la Bacalaureat. Conține trei subiecte cu câte șase probleme sau exerciții, fiecare dintre ele notate cu câte 5 puncte.

Subiectele de la Matematică pentru profilul Științele Naturii

Rezolvarea subiectelor de la proba de Matematică, profilul Mate-Info

Rezolvarea subiectelor de la proba de la BAC – Matematică, profil Mate-Info. Sursă: edupedu.ro
Rezolvarea subiectelor de la proba de la BAC – Matematică, profil Mate-Info. Sursă: edupedu.ro

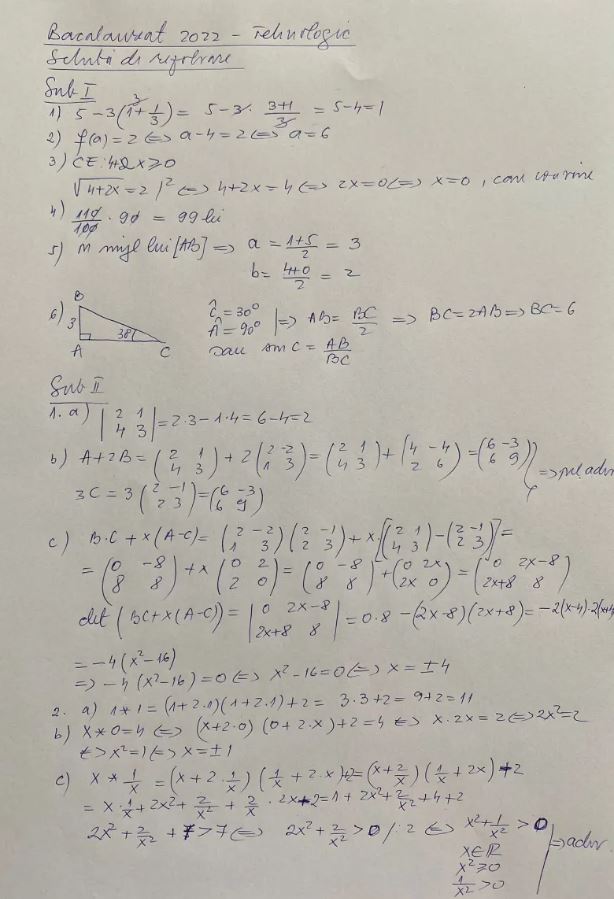
Rezolvarea subiectelor de la proba de Matematică, profilul Tehnologic

Rezolvarea subiectelor de la proba de la BAC – Matematică, profil Tehnologic. Sursă: edupedu.ro
Rezolvarea subiectelor de la proba de la BAC – Matematică, profil Tehnologic. Sursă: edupedu.ro

Calendar Bacalaureat 2022, sesiunea de vară. Elevii mai au de susținut câteva probe

  • 6 – 8 iunie 2022: Evaluarea competențelor lingvistice de comunicare orală în limba română — proba A
  • 8 – 9 iunie 2022: Evaluarea competențelor lingvistice de comunicare orală în limba maternă — proba B
  • 9 – 10 iunie 2022: Evaluarea competențelor digitale — proba D
  • 13 – 15 iunie 2022: Evaluarea competențelor lingvistice într-o limbă de circulație internațională — proba C
  • 20 iunie 2022: Limba și literatura română — proba E.a) — proba scrisă
  • 21 iunie 2022: Proba obligatorie a profilului — proba E.c) — proba scrisă
  • 22 iunie 2022: Proba la alegere a profilului și specializării — proba E.d) — proba scrisă
  • 23 iunie 2022: Limba și literatura maternă — proba E.b) — proba scrisă
  • 27 iunie 2022: Afișarea rezultatelor la probele scrise (până la ora 12:00) și depunerea contestațiilor în intervalul orar 12:00 – 18:00
  • 28 – 30 iunie 2022: Rezolvarea contestațiilor
  • 1 iulie 2022: Afișarea rezultatelor finale

Sursă foto: Pexels

Recomandarea video

Urmărește Cancan.ro pe Google News
×