Acasă » Știri » Simulare Evaluare Națională 2023. Modele de subiecte la limba română și matematică. Când încep probele

Simulare Evaluare Națională 2023. Modele de subiecte la limba română și matematică. Când încep probele

De: Valentina Ene 15/03/2023 | 10:29
Simulare Evaluare Națională 2023. Modele de subiecte la limba română și matematică. Când încep probele

Elevii care sunt înscriși în clasa a VIII-a urmează să susțină în curând simularea la Evaluarea Națională 2023. Iată ce modele ar putea primi cei care se pregătesc să încheie școala gimnazială, precum și datele exacte în care vor avea loc probele.

Emoțiile sunt din ce în ce mai mari pentru elevii de clasa a VIII-a, din toate școlile din România, deoarece luna aceasta vor avea loc simulările la Evaluarea Națională 2023. Atât profesorii, cât și părinții au făcut tot posibilul ca viitorii liceeni să acumuleze informațiile de care au nevoie pentru a putea face față cu brio probelor la care vor fi supuși.

VEZI ȘI: Bacalaureat 2023. A apărut calendarul oficial al examenului. Prima probă de BAC, pe 12 iunie

Simularea la Evaluare Națională 2023

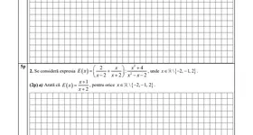
Așa cum era de așteptat, modelele de subiecte pentru Evaluarea Națională 2023 au fost publicate cu câteva luni în urmă pentru a le putea permite elevilor să se obișnuiască, în timp util, cu eventualele schimbări apărute. Ca în anii trecuți, viitorii liceeni vor avea de susținut două probe, la limba și literatura română și la matematică. Cea de-a treia probă este dedicată exclusiv minorităților care vor avea de susținut un examen la limba și literatura maternă.

În ceea ce privește structurarea subiectelor, acestea vor fi împărțite, ca de obicei, în trei părți (subiectul I, II și III la matematică și subiectul I-A & B și subiectul II la limba română). Nivelul de dificultate ar trebui să fie unul mediu, atât pentru subiectele la limba română, cât și pentru cele de la matematică. (VEZI MODELE DE SUBIECTE ÎN GALERIA FOTO)

NU RATA: Rezultate Evaluarea Națională | Județul din România cu cei mai mulți elevi picați la Evaluare

Calendarul simulării la Evaluarea Națională 2023:

  • 20 martie 2023 – Proba la limba română;
  • 21 martie 2023 – Proba la matematică;
  • 22 martie 2023 – Proba la limba maternă;
  • 29 martie 2023: vor fi afișate rezultatele.

Nu doar elevii clasei a VIII-a vor avea emoții în luna martie, ci și cei de liceu care vara aceasta se pregătesc să susțină examenul de Bacalaureat. În perioada 27-30 martie 2023, toți elevii de clasa a XII-a vor avea de susținut simularea națională. Iată calendarul simulării probelor scrise din acest an:

  • 27 martie 2023: Proba E) a) – probă scrisă – Limba şi literatura română;
  • 28 martie 2023: Proba E) c) – probă scrisă – proba obligatorie a profilului;
  • 29 martie 2023: Proba E) d) – probă scrisă – proba la alegere a profilului şi specializării;
  • 30 martie 2023: Proba E) b) – probă scrisă – Limba şi literatura maternă;
  • 6 aprilie 2023: Comunicarea rezultatelor.

Recomandarea video